近日,bwin必赢张禧征教授科研团队在量子多体系统中的可积性与疤痕态方面取得重要进展,在量子多体系统的可积性与疤痕方面取得重要进展。研究通过在一个具有多自旋相互作用的系统中引入长程耦合项,发现无论是在厄米还是非厄米情况下,系统均呈现出从可积到混沌的转变。在混沌区域,成功找到了一组具有等能级间隔且低纠缠熵的本征态塔,这些本征态在混沌背景下依然得以保留,即为疤痕态。该研究成果以“Integrability Breaking and Coherent Dynamics in Hermitian and Non-Hermitian Spin Chains with Long-Range Coupling”为题在线发表于Physical Review B上。
揭示复杂量子系统中遍历性破缺的机理是非平衡物理学的核心课题之一。在本工作中,我们研究了一个具有可调长程跃迁项的一维自旋-1模型,该长程项引入了非局域相互作用,并架起了厄米与非厄米体系之间的桥梁。通过对能级统计和Krylov Complexity的系统分析,我们证明了这一长程项作为一个普适控制参量,驱动系统从可积性走向量子混沌。具体而言,在厄米极限下,随着这一项的耦合强度的增加,系统能级统计分布从可积系统的Possion分布过渡到混沌系统的Wigner-Dyson分布,即Gaussian Orthogonal Ensemble (GOE);在非厄米情形下,该项同样能够诱导出混沌动力学。尤为引人注目的是,尽管系统整体呈现混沌行为,我们仍然识别出一系列严格非热本征态。这些态作为鲁棒的量子多体疤痕态而存在,即使在强非厄米微扰下仍能保持低纠缠熵和相干动力学。我们的研究揭示了一种普适机制,即长程相互作用与非厄米效应如何重塑量子遍历性,为在复杂多体系统中保持量子相干性提供了新的路径。

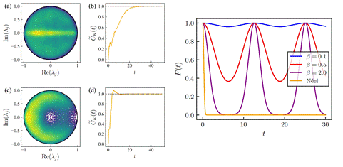
左边四个图像为可积性的判定结果,右边图像为由疤痕塔过程的相干态保真度的周期性回复情况。
bwin必赢为本工作的唯一完成单位,bwin必赢研究生刘延盛为第一作者,张禧征教授为通讯作者。该论文得到了国家自然科学基金面上项目(11975166,12275193)
论文链接:https://doi.org/10.1103/bp8f-rhj4